近期,海洋学院吉喆/陈夫山教授在木质纤维生物质高值化利用研究领域取得新进展,相关研究成果“Insights into the poplar cell wall deconstruction following deep eutectic solvent pretreatment for enhanced enzymatic saccharification and lignin valorization”发表在生物炼制领域国际权威期刊International Journal of Biological Macromolecules(中科院一区TOP期刊,DOI: https://doi.org/10.1016/j.ijbiomac.2023.127673)。论文通讯作者为吉喆副教授,万象城allwincity官网为第一通讯单位,该项工作得到了国家自然科学基金的资助。

DES处理过程中纤维素微纤丝和木质素纳米微球形貌表征


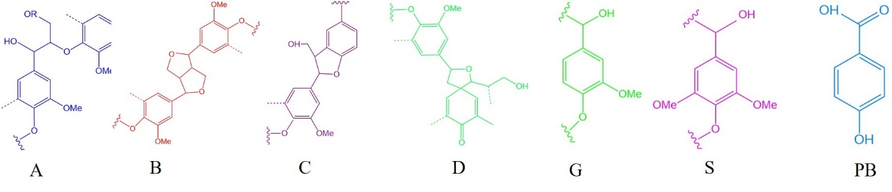
DES解聚木质素分子机理
在新能源开发和环境保护的双重推动下,利用农林生物质制备燃料、化学品及材料已成为国际生物炼制领域的研究热点。近日,陈夫山/吉喆课题组在前期研究基础上(Bioresource Technol.2022, 351:127066;Biochem. Eng. J.2022, 178: 108302;Int. J. Mol. Sci.2022, 23: 11158.),采用氯化胆碱低共熔体系协同酶水解技术,将木质纤维素成功高效转化为小分子芳香族化合物(分子量为1112 g/mol)和葡萄糖(转化率为91%)。为系统揭示低共熔体系的作用机理,吉喆/陈夫山课题组采用化学分析结合原位显微成像技术,多尺度研究了低共熔预处理解构生物质细胞壁过程中主要组分的溶出规律,揭示了木质素转化为小分子化合物的作用机理,阐释了该系列变化对纤维素糖化效率的影响机制,并低共熔溶剂的循环使用性进行了评估。研究成果对木质纤维生物质能源化、资源化利用具有重要的指导意义。
论文链接:https://doi.org/10.1016/j.ijbiomac.2023.127673